Archive for category recommendation
Outside Lands Recommendations
Posted by Paul in code, events, hacking, recommendation, Spotify, The Echo Nest on July 27, 2014
I am at Outside Hacks this weekend – A hackathon associated with the Outside Lands music festival. For this hack I thought it would be fun to try out the brand new Your Music Library endpoints in the Spotify Web API. These endpoints let you inspect and manipulate the tracks that a user has saved to their music. Since the hackathon is all about building apps for a music festival, it seems natural to create a web app that gives you festival artist recommendations based upon your Spotify saved tracks. The result is the Outside Lands Recommender:
The Recommender works by pulling in all the saved tracks from your Spotify ‘Your Music’ collection, aggregating the artists and then using the Echo Nest Artist Similar API to find festival artists that match or are similar to those artists. The Spotify API is then used to retrieve artist images and audio samples for the recommendations where they are presented in all of their bootstrap glory.
This was a pretty straight forward app, which was good since I only had about half the normal hacking time for a weekend hackathon. I spent the other half of the time building a festival dataset for hackers to use (as well as answering lots of questions about both the Spotify and Echo Nest APIs).
It has been a very fun hackathon. It is extremely well organized, the Weebly location is fantastic, and the quality of hackers is very high. I’ve already seen some fantastic looking hacks and we are still a few hours from demo time. Plus, this happened.

Two more victims
Gender Specific Listening
Posted by Paul in data, Music, music information retrieval, recommendation, research, The Echo Nest, zero ui on February 10, 2014
One of the challenges faced by a music streaming service is to figure out what music to play for the brand-new listener. The first listening experience of a new listener can be critical to gaining that listener as a long time subscriber. However, figuring out what to play for that new listener is very difficult because often there’s absolutely no data available about what kind of music that listener likes. Some music services will interview the new listener to get an idea of their music tastes.

Selecting your favorite genres is part of the nifty user interview for Beat’s music
However, we’ve seen that for many listeners, especially the casual and indifferent listeners, this type of enrollment may be too complicated. Some listeners don’t know or care about the differences between Blues, R&B and Americana and thus won’t be able to tell you which they prefer. A listener whose only experience in starting a listening session is to turn on the radio may not be ready for a multi-screen interview about their music taste.
So what can a music service play for a listener when they have absolutely no data about that listener? A good place to start is to play music by the most popular artists. Given no other data, playing what’s popular is better than nothing. But perhaps we can do better than that. The key is in looking at the little bit of data that a new listener will give you.
For most music services, there’s a short user enrollment process that gets some basic info from the listener including their email address and some basic demographic information. Here’s the enrollment box for Spotify:

Included in this information is the date of birth and the gender of the listener. Perhaps we can use basic demographic data to generate a slightly more refined set of artists. For starters, lets consider gender. Let’s try to answer the question: If we know that a listener is male or female does that increase our understanding of what kind of music they might like? Let’s take a look.
Exploring Gender Differences in Listening
Do men listen to different music than women do? Anecdotally, we can think of lots of examples that point to yes – it seems like more of One Direction’s fans are female, while more heavy metal fans are male, but lets take a look at some data to see if this is really the case.
The Data – For this study, I looked at the recent listening of about 200 thousand randomly selected listeners that have self-identified as either male or female. From this set of listeners, I tallied up the number of male and female listeners for each artist and then simply ranked the artists in order or listeners. Here’s a quick look at the top 5 artists by gender.
Top 5 artists by gender
| Rank | All | Male | Female |
|---|---|---|---|
| 1 | Rihanna | Eminem | Rihanna |
| 2 | Bruno Mars | Daft Punk | Bruno Mars |
| 3 | Eminem | Jay-Z | Beyoncé |
| 4 | Katy Perry | Bruno Mars | Katy Perry |
| 5 | Justin Timberlake | Drake | P!nk |
Among the top 5 we see that the Male and Female listeners only share one artist in common:Bruno Mars. This trend continues as we look at the top 40 artists. Comparing lists by eye can be a bit difficult, so I created a slopegraph visualization to make it easier to compare. Click on this image to see the whole slopegraph:
Looking at the top 40 charts artists we see that more than a quarter of the artists are gender specific. Artists that top the female listener chart but are missing on the male listener chart include: Justin Bieber, Demi Lovato, Shakira, Britney Spears, One Direction, Christina Aguilera, Ke$ha, Ciara, Jennifer Lopez, Avril Lavigne and Nicki Minaj. Conversely, artists that top the male listener chart but are missing on the top 40 female listener chart include: Bob Marley, Kendrick Lamar, Wiz Khalifa, Avicii, T.I. Queen, J.Cole, Linkin Park, Kid Cudi and 50 Cent. While some artists seem to more easily cross gender lines like Rihanna, Justin Timberlake, Lana Del Rey and Robin Thicke.
No matter what size chart we look at – whether it is the top 40, top 200 or the top 1000 artists – about 30% of artists on a gender-specific chart don’t appear on the corresponding chart for the opposite gender. Similarly, about 15% of the artists that appear on a general chart of top artists will be of low relevance to a typical listener based on these gender-listening differences.
What does this all mean? If you don’t know anything about a listener except for their gender, you can reduce the listener WTFs by 15% for a typical listener by restricting plays to artists from the gender specific charts. But perhaps even more importantly, we can use this data to improve the listening experience for a listener even if we don’t know a listener’s gender at all. Looking at the data we see that there are a number of gender-polarizing artists on any chart. These are artists that are extremely popular for one gender, but not popular at all for the other. Chances are that if you play one of these polarizing artists for a listener that you know absolutely nothing about, 50% of the time you will get it wrong. Play One Direction and 50% of the time the listener won’t like it, just because 50% of the time the listener is male. This means that we can improve the listening experience for a listener, even if we don’t know their gender by eliminating the gender skewing artists and replacing them with more gender neutral artists.
Let’s see how this would affect our charts. Here are the new Top 40 artists when we account for gender differences.
| Rank | Old Rank | Artist |
|---|---|---|
| 1 | 2 | Bruno Mars |
| 2 | 1 | Rihanna |
| 3 | 5 | Justin Timberlake |
| 4 | 4 | Katy Perry |
| 5 | 6 | Drake |
| 6 | 15 | Chris Brown |
| 7 | 3 | Eminem |
| 8 | 8 | P!nk |
| 9 | 11 | David Guetta |
| 10 | 14 | Usher |
| 11 | 17 | Maroon 5 |
| 12 | 7 | Jay-Z |
| 13 | 13 | Adele |
| 14 | 9 | Beyoncé |
| 15 | 12 | Lil Wayne |
| 16 | 23 | Lana Del Rey |
| 17 | 25 | Robin Thicke |
| 18 | 24 | Pitbull |
| 19 | 27 | The Black Eyed Peas |
| 20 | 19 | Lady Gaga |
| 21 | 20 | Michael Jackson |
| 22 | 10 | Daft Punk |
| 23 | 18 | Miley Cyrus |
| 24 | 22 | Macklemore & Ryan Lewis |
| 25 | 28 | Coldplay |
| 26 | 16 | Taylor Swift |
| 27 | 26 | Calvin Harris |
| 28 | 21 | Alicia Keys |
| 29 | 29 | Imagine Dragons |
| 30 | 30 | Britney Spears |
| 31 | 44 | Ellie Goulding |
| 32 | 31 | Kanye West |
| 33 | 42 | J. Cole |
| 34 | 41 | T.I. |
| 35 | 52 | LMFAO |
| 36 | 32 | Shakira |
| 37 | 35 | Bob Marley |
| 38 | 54 | will.i.am |
| 39 | 36 | Ke$ha |
| 40 | 39 | Wiz Khalifa |
Artists promoted to the chart due to replace gender-skewed artists are in bold. Artists that were dropped from the top 40 are:
- Avicii – skews male
- Justin Bieber – skews female
- Christina Aguilera – skews female
- One Direction – skews female
- Demi Lovato – skews female
Who are the most gender skewed artists?
The Top 40 is a fairly narrow slice of music. It is much more interesting to look at how listening can skew across a much broader range of music. Here I look at the top 1,000 artists listened to by males and the top 1,000 artists listened to by females and find the artists that have the largest change in rank as they move from the male chart to the female chart. Artists that lose the most rank are artists that skew male the most, while artists that gain the most rank skew female.
Top male-skewed artists:
artists that skew towards male fans
- Iron Maiden
- Rage Against the Machine
- Van Halen
- N.W.A
- Jimi Hendrix
- Limp Bizkit
- Wu-Tang Clan
- Xzibit
- The Who
- Moby
- Alice in Chains
- Soundgarden
- Black Sabbath
- Stone Temple Pilots
- Mobb Deep
- Queens of the Stone Age
- Ice Cube
- Kavinsky
- Audioslave
- Pantera
Top female-skewed artists:
artists that skew towards female fans
- Danity Kane
- Cody Simpson
- Hannah Montana
- Emily Osment
- Playa LImbo
- Vanessa Hudgens
- Sandoval
- Miranda Lambert
- Sugarland
- Aly & AJ
- Christina Milian
- Noel Schajris
- Maria José
- Jesse McCartney
- Bridgit Mendler
- Ashanti
- Luis Fonsi
- La Oreja de Van Gogh
- Michelle Williams
- Lindsay Lohan
Gender-skewed Genres
By looking at the genres of the most gender skewed artists we can also get a sense of which genres are most gender skewed as well. Looking at the genres of the top 1000 artists listened to by male listeners and the top 1000 artists with female listeners we identify the most skewed genres:
Genres most skewed to female listeners:
- Pop
- Dance Pop
- Contemporary Hit Radio
- Urban Contemporary
- R&B
- Hot Adult Contemporary
- Latin Pop
- Teen Pop
- Neo soul
- Latin
- Pop rock
- Contemporary country
Genres most skewed to male listeners:
- Rock
- Hip Hop
- House
- Album Rock
- Rap
- Pop Rap
- Indie Rock
- Funk Rock
- Gangster Rap
- Electro house
- Classic rock
- Nu metal
Summary
This study confirms what we expected – that there are differences in gender listening. For mainstream listening about 30% of the artists in a typical male’s listening rotation won’t be found in a typical female listening rotation and vice versa. If we happen to know a listener’s gender and nothing else, we can improve their listening experience somewhat by replacing artists that skew to the opposite gender with more neutral artists. We can even improve the listening experience for a listener that we know absolutely nothing about – not even their gender – by replacing gender-polarized artists with artists that are more accepted by both genders.
Of course when we talk about gender differences in listening, we are talking about probabilities and statistics averaged over a large number of people. Yes, the typical One Direction fan is female, but that doesn’t mean that all One Direction fans are female. We can use gender to help us improve the listening experience for a brand new user, even if we don’t know the gender of that new user. But I suspect the benefits of using gender for music scheduling is limited to helping with the cold start problem. After a new user has listened to a dozen or so songs, we’ll have a much richer picture of the type of music they listen to – and we may discover that the new male listener really does like to listen to One Direction and Justin Bieber and that new female listener is a big classic rock fan that especially likes Jimi Hendrix.
update – 2/13 – commenter AW suggested that the word ‘bias’ was too loaded a term. I agree and have changed the post replacing ‘bias’ with ‘difference’
The Zero Button Music Player
Posted by Paul in music information retrieval, playlist, recommendation, research, The Echo Nest, zero ui on January 14, 2014
Ever since the release of the Sony Walkman 35 years ago, the play button has been the primary way we interact with music. Now the play button stands as the last barrier between a listener and their music. Read on to find out how we got here and where we are going next.
In the last 100 years, technology has played a major role in how we listen to and experience music. For instance, when I was coming of age musically, the new music technology was the Sony Walkman. With the Walkman, you could take your music with you anywhere. You were no longer tied to your living room record player to listen to your music. You no longer had to wait and hope that the DJ would play your favorite song when you were on the road. You could put your favorite songs on a tape and bring them with you and listen to them whenever you wanted to no matter where your were. The Sony Walkman really changed how we listened to music. It popularized the cassette format, which opened the door to casual music sharing by music fans. Music fans began creating mix tapes and sharing music with their friends. The playlist was reborn, music listening changed. All because of that one device.
We are once again in the middle of music+technology revolution. It started a dozen years ago with the first iPod and it continues now with devices like the iPhone combined with a music subscription service like Spotify, Rdio, Rhapsody or Deezer. Today, a music listener armed with an iPhone and a ten dollar-a-month music subscription is a couple of taps away from being able to listen to almost any song that has ever been recorded. All of this music choice is great for the music listener, but of course it brings its own problems. When I was listening to music on my Sony Walkman, I had 20 songs to choose from, but now I have millions of songs to choose from. What should I listen to next? The choices are overwhelming. The folks that run music subscription services realize that all of this choice for their listeners can be problematic. That’s why they are all working hard to add radio features like Rdio’s You.FM Personalized Radio. Personalized Radio simplifies the listening experience – instead of having to pick every song to play, the listener only needs to select one or two songs or artists and they will be presented with an endless mix of music that fits well with initial seeds.
Helping listeners pick music is especially important when you consider that not all music listeners are alike, and that most listeners are, at best, only casual music fans. A study conducted in 2003 and again in 2006 by Emap (A UK-based Advertising agency), summarized here by David Jennings, identified four main types of music listeners. Jennings describes these four main listening types as:
-
Savants – for whom everything in life is tied up with music
-
Enthusiasts – Music is a key part of life but is balanced with other interests
-
Casuals – Music plays a welcoming role, but other things are far more important
-
Indifferents – Would not lose much sleep if music ceased to exist.
These four listener categories are an interesting way to organize music listeners, but of course, real life isn’t so cut and dried. Listener categories change as life circumstances change (have a baby and you’ll likely become a much more casual music listener) and can even change based on context (a casual listener preparing for a long road-trip may act like a savant for a few days while she builds her perfect road-trip playlist).
In 2006, the distribution of people across these 4 categories was as follows:

This chart says a lot about the music world and why it works the way it does. For instance, it gives us a guide as to how much different segments of the listening world are willing to pay for music in a year. On the chart below, I’ve added my estimate of the amount of money each listener type will spend on music in a year.

Savants will spend a thousand dollars or more on vinyl, concerts, and music subscriptions. Enthusiasts will spend $100 a year on a music subscription or, perhaps, purchase a couple of new tracks per week. Casuals will spend $10 a year (maybe splurge and buy that new Beyoncé album), while Indifferents will spend nothing on music. This is why music services like Spotify and Rdio have been exploring the Fremium model. If they want to enroll the 72% of people who are Casual or Indifferent music listeners, they need a product that costs much less than the $100 a year Enthusiasts are willing to pay.
However, price isn’t the only challenge music services face in attracting the Casuals and the Indifferents. Different types of listeners have a different tolerance around the amount of time and effort it takes to play music that they want to listen to.
A music Savant – someone who lives, eats and breathes music – is happy spending hours a day poring through music blogs, forums and review sites to find new music, while the Indifferent music listener may not even make the simplest of efforts like turning the radio on or switching to a new station if they don’t like the current song. A simple metric for the time and effort spent is Interactions Per Listening Session. In this chart, I’ve added my estimate of the number of interactions, on average, a listener of a given type will tolerate to create a listening session.

Interactions per Listening Session is an indication of how many times the listener controls their music player for a listening session. That music Savant may carefully handpick each song going into a playlist after reading a few music blogs and reviews about an artist on The Hype Machine, checking out the artist bio and previewing a few tracks. The music Enthusiast may grab a few top songs from a handful of their favorite artists to build a Spotify playlist. The casual listener may fire up Pandora, select an artist station and click play, while the Indifferent music listener may passively listen to the music that is playing on the radio or in the background at the local Starbucks.

The above chart shows why a music service like Pandora has been so successful. With its simple interface, Pandora is able to better engage the Casual listeners who don’t want to spend time organizing their listening session. A Pandora listener need only pick a station, and Pandora does all the work from there. This is why music subscription services hoping to attract more users are working hard to add Pandora-like features. In order to make their service appeal to the Casuals, they need to make it incredibly easy to have a good listening experience.
But what about those Indifferents? If 40% of people are indifferent to music, is this a lost market for music services? Is it impossible to reach people who can’t even be bothered to queue up some music on Pandora? I don’t think so. Over the last 75 years, terrestrial radio has shown that even the most indifferent music fan can be coaxed into simple, “lean back” listening. Even with all of the media distractions in the world today, 92% of Americans age 12 or older listen to the radio at least weekly, much the same as it was back in 2003 (94%).
So what does it take to capture the ears of Indifferents? First, we have to drive the out-of-pocket costs to the listener to zero. This is already being done via the Freemium model – Ad supported Internet radio (non-on-demand) is becoming the standard entry point for music services. Next, and perhaps more difficult, we have to drive the number of interactions required to listen to music to zero.
Thus my current project – Zero UI – building a music player that minimizes the interactions necessary to get good music to play – a music player that can capture the attention of even the musically indifferent.
Implicit signals and context
Perhaps the biggest challenge in creating a Zero UI music player is how to get enough information about the listener to make good music choices. If a Casual or Indifferent listener can’t be bothered to explicitly tell us what kind of music they like, we have to try to figure it out based upon implicit signals. Luckily, a listener gives us all kinds of implicit signals that we can use to understand their music taste. Every time a listener adjusts the volume on the player, every time they skip a song, every time they search for an artist, or whenever they abandon a listening session, they are telling us a little bit about their music taste. In addition to the information we can glean from a listener’s implicit actions, there’s another source of data that we can use to help us understand a music listener. That’s the listener’s music listening device – i.e. their phone.

The mobile phone is now and will continue to be the primary way for people to interact with and experience music. My phone is connected to a music service with 25 million songs. It ‘knows’ in great detail what music I like and what I don’t like. It knows some basic info about me such as my age and sex. It knows where I am, and what I am doing – whether I’m working, driving, doing chores or just waking up. It knows my context – the time of day, the day of the week, today’s weather, and my schedule. It knows that I’m late for my upcoming lunch meeting and it even might even know the favorite music of the people I’m having lunch with.
Current music interfaces use very little of the extra context provided by the phone to aid in music exploration and discovery. In the Zero UI project, I’ll explore how all of this contextual information provided by the latest devices (and near future devices) can be incorporated into the music listening experience to help music listeners organize, explore, discover and manage their music listening. The goal is to create a music player that knows the best next song to play for you given your current context. No button pressing required.
There are lots of really interesting areas to explore:
-
Can we glean enough signal from the set of minimal listener inputs?
-
Which context types (user activity, location, time-of-day, etc.) are most important for scheduling music? Will we suffer from the curse of dimensionality with too many contexts?
-
What user demographic info is most useful for avoiding the cold start problem (age, sex, zip code)?
-
How can existing social data (Facebook likes, Twitter follows, social tags, existing playlists) be used to improve the listening experience?
-
How can we use information from new wearable devices such as the Jawbone’s Up, the Fitbit, and the Pebble Smart Watch to establish context?
-
How do we balance knowing enough about a listener to give them good music playlists and knowing so much about a listener that they are creeped out about their ‘stalker music player’?
Over the next few months I’ll be making regular posts about Zero-UI. I’ll share ideas, prototypes and maybe even some code. Feel free to follow along.

Conceptual zero-ui player that maps music listening onto user activity (as tracked by moves-app )
The Fighting Fifth – The Fifth Harmony fan army
Posted by Paul in data, Music, recommendation on September 13, 2013
In yesterday’s post about the Hot Songs of Summer 2013, I noted that some songs were attracting a very passionate fan base. In particular, the song Miss Movin’ On by Fifth Harmony was an extreme outlier, attracting more than twice the number of plays per listener than any other song.
Based on this data I suggested that the Fifth Harmony was going places – such high passion among their listeners was surely indicative of future success. But now I am not so sure. Shortly after I made that post I learned that our crack data team here at The Echo Nest were already on to some Fifth Harmony shenanigans. Yes, Fifth Harmony is getting lots of plays, but many of these plays are due to an orchestrated campaign. Fifth Harmony fans are encouraged to go to music streaming sites such as Spotify and Rdio and stream Miss Movin’ On (aka MMO) 24/7. Here are some examples:


There are a number of twitter accounts that are prompting such MMO plays. The campaign seems to be working. 5H is moving up in the charts. Just take a look at the top songs on Rdio this week, Miss Movin’ On is number two on the list:
But what effect is this campaign really having on Fifth Harmony? Perhaps Fifth Harmony’s position on the charts is a natural outcome of their appeal, and is not a result of a small number of fans that stream MMO 24/7 with their computers and iPhones on mute. Can we see the effect that The Harmonizers are having? And if so, how substantial is this effect? The answer lies in the data, so that’s where we will go.
Can we see the effect of the Harmonizers?
The first thing to do is to take a look at the listener play data for MMO and compare it to other songs to see if there are any tell-tale signs of a shilling campaign. To do this, I selected 9 other songs with similar number of fans that appeal to a similar demographic as MMO. For each of these songs I ordered the listeners in descending play order (i.e. the first listener is the listener that has played the song the most) and plotted the number of plays per listener for the 10 songs.
As you can see, 9 out of 10 songs follow a similar pattern. The top listeners of a song have around a thousand plays. As we get deeper into the listener ranks, the number of plays per listener drops off at a very predictable rate. The one exception is Fifth Harmony’s Miss Movin’ On. The effect of the Harmonizers is clearly seen. The top plays are skewed to greatly inflate the total number of plays by two full orders of magnitude. We can also see that the number of listeners that are significantly skewing the data is relatively small. Beyond the top 200 most active listeners (less than 0.5 % of the Fifth Harmony listeners in the sample), the listening pattern for MMO falls in line with the rest of the songs. It is pretty clear that the Harmonizers are really having an effect on the number of plays. It is also clear that we can automate the detection of such shilling by looking for such non-standard listening patterns.
Update – a reader has asked that I include One Direction’s Best Song Ever on the plot. You can find it here.
How big of an impact do the Harmonizers have on the overall play count?
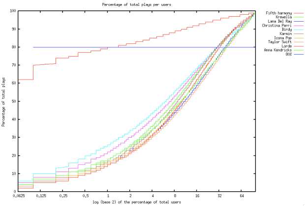
The Harmonizers are having a huge impact. 80% of all track plays of Miss Movin’ On are concentrated into just the top 1% of listeners. Compare that to the other 9 tracks in our sample:
Percentage of listeners that account for 80% of all plays
| Fifth Harmony – Miss Movin’ On | 1.0 |
|---|---|
| Lorde – Royals | 14.0 |
| Karmin – Acapella | 16.0 |
| Anna Kendrick – Cups | 17.0 |
| Taylor Swift – 22 | 14.0 |
| Icona Pop – I love it | 15.0 |
| Birdy – Skinny Love | 25.0 |
| Lana Del Rey – Summertime Sadness | 15.0 |
| Christina Perri – A Thousand Years | 21.0 |
| Krewella – Alive | 17.0 |
A plot of this data makes the difference quite clear:
I estimate that at least 75% of all plays of Miss Movin’ On are overplays that are a direct result of the Harmonizer campaign.
What effect does the Fifth Harmony campaign have on chart position?
It is pretty easy to back out the overplays by finding another song that has a similarly-shaped plays vs listener rank curve once we get beyond past the first 1% of listeners (the ones that are overplaying the track). For instance, Karmin’s Acapella has a similar mid-tail and long-tail listener curve and has a similar audience size making it a good proxy. It’s Summer Time rank was 378. Based on this proxy, MMO’s real rank should be dropped from 45 to around 375. This means that a few hundred committed fans were able to move a song up more than 300 positions on the chart.
The bottom line here is that an organized campaign for very little cost has harnessed the most passionate fans to substantially bolster the apparent popularity of an artist, making the artist appear to be about 4 times more popular than it really is.
What does this all mean for music services?
Whenever there’s a high-stakes metric like chart position some people will try to find a way to game the system to get their stuff to the top of the chart. Twenty years ago, the only way to game the charts was either by spending lots of money buying copies of your record to boost the sales figures, or bribe radio DJs to play your songs to boost radio airplay. With today’s music subscription services, there’s a much easier way to game the system. Fans and shills need to simple play a song on autorepeat across a a few hundred accounts to boost the chart position of a song. Fifth Harmony proves that if you have a small, but committed fan base, you can radically boost your chart position for very little cost.
Obviously, a music service doesn’t like this. First, the music service has to pay for all those streams, even if no one is actually listening to them. Second, when a song gets to the top of a chart through shilling and promotion campaigns, it reduces the listening enjoyment for those who use the charts to find music. Instead of finding a new song that got to the top of the chart based solely (or at least mostly) on merit, they are listening to a song that is a product of a promotion machine. Finally, music services that rely on user play data to generate music recommendations via collaborative filtering have a significant problem trying to make sure that fake plays don’t improperly influence their recommendations.
So what can be done to limit the damage to music services? As we’ve seen, it is pretty easy to detect when a song is being overplayed via a campaign and these overplays can be removed. Perhaps even simpler though is to rely on metrics that are less easily gamed – such as the number of fans a song has instead of the total number of plays. For a music subscription service that has a credit card number associated with each user account, the number of fans a song has is a much harder metric to hack.
What does this say about Fifth Harmony fans ?
I am always happy when I see people getting excited about music. The Fifth Harmony fans are really excited about Miss Movin’ On, the tour and the upcoming album. Its great that the fans are so invested in the music that they want to help the band be successful. That’s what being a fan is all about. But I hope they’ll avoid trying to take their band to the top by a shortcut. As they say, it’s a long way to the top if you want to rock n’ roll. Let Fifth Harmony earn their position at the top of charts, don’t give them a free ride.
And finally, a special message to music labels or promoters: If you are trying to game the music charts by enlisting hundreds of pre-teens and teens to continuously stream your one song: screw you.
Update – I’ve received **lots** of feedback from Harmonizers – thanks. A common theme among this feedback is that the fan activities and organization really are a grassroots movement, and there really is no input from the labels. Many took umbrage with my suspicions that the label was pulling the strings. I remain suspicious, but less so than before. My parting ‘screw you’ comment was in no way directed at the 5H fans, it was reserved for the mythical music label marketeer who I imagined was pulling the strings. I’m hoping to dig in a bit deeper to understand the machinery behind the 5H fan movement. Expect a follow up article soon.
How music recommendation works – and doesn’t work
Posted by Paul in Music, music information retrieval, recommendation, The Echo Nest on December 12, 2012
Brian just posted ‘How Music Recommendation works – and doesn’t work‘ over at his Variogr.am blog. It is a must-read for anyone interested in the state of the art in music recommendation. Here’s an excerpt:
Try any hot new artist in Pandora and you’ll get the dreaded:

Pandora not knowing about YUS
This is Pandora showing its lack of scale. They won’t have any information for YUS for some time and may never unless the artist sells well. This is bad news and should make you angry: why would you let a third party act as a filter on top of your very personal experiences with music? Why would you ever use something that “hid” things from you?
Grab a coffee, sit back and read Brian’s post. Highly recommended.
Music Recommendation and Discovery Remastered – A Tutorial
Posted by Paul in events, Music, recommendation on October 24, 2011
Oscar and I just finished giving our tutorial on music recommendation and discovery at ACM RecSys 2011. Here are the slides:
What is so special about music?
Posted by Paul in Music, recommendation on October 23, 2011
In the Recommender Systems world there is a school of thought that says that it doesn’t matter what type of items you are recommending. For these folks, a recommender is a black box that takes in user behavior data and outputs recommendations. It doesn’t matter what you are recommending – books, music, movies, Disney vacations, or deodorant. According to this school of thought you can take the system that you use for recommending books and easily repurpose it to recommend music. This is wrong. If you try to build a recommender by taking your collaborative filtering book recommender and applying it to music, you will fail. Music is different. Music is special.
Here are 10 reasons why music is special and why your off-the-shelf collaborative filtering system won’t work so well with music.
Huge item space – There is a whole lot of music out there. Industrial sized music collections typically have 10 million songs or more. The iTunes music store boasts 18 million songs. The algorithms that worked so wonderfully on the Netfix Dataset (one of the largest CF datasets released, contain user data for 17,770 movies) will not work so well when having to deal with a dataset that is three orders of magnitude larger.
Very low cost per item – When the cost per item is low, the risk of a bad recommendation is low. If you recommend to me a bad Disney Vacation I am out $10,000 and a week of my time. If you recommend a bad song, I hit the skip button and move on to the next.
Many item types – In the music world, there are many things to recommend: tracks, albums, artists, genres, covers, remixes, concerts, labels, playlists, radio stations other listeners etc.
Low consumption time – A book can take a week to read, a movie may take a few hours to watch, a song may take 3 minutes to listen to. Since I can consume music so quickly, I need lots of recommendations (perhaps 30 an hour) to keep my queue filled, whereas 30 book recommendations may keep me reading for a whole year. This has implications for scaling of a recommender. It also ties in with the low cost per item issue. Because music is so cheap and so quick to consume, the risk of a bad recommendation is very low. A music recommender can afford to be more adventurous than other types of recommenders.
Very high per-item reuse – I’ve read my favorite book perhaps half-a-dozen times, I’ve seen my favorite movie 3 times and I’ve probably listened to my favorite song thousands of times. We listen to music over and over again. We like familiar music. A music recommender has to understand the tension between familiarity and novelty. The Netflix movie recommender will never recommend The Bourne Identity to me because it knows that I already watched it, but a good music playlist recommender had better include a good mix of my old favorites along with new music.
Highly passionate users -There’s no more passionate fan than a music fan. This is a two-edged sword. If your recommender introduce a music fan to new music that they like they will transfer some of their passion to your music service. This is why Pandora has such a vocal and passionate user base. On the other hand, if your recommender adds a Nickelback track to a Led Zeppelin playlist you will have to endure the wrath of the slighted fan.
Highly contextual usage – We listen to music differently in different contexts. I may have an exercising playlist, a working playlist, a driving playlist etc. I may make a playlist to show my friends how cool I am when I have them over for a social gathering. Not too many people go to Amazon looking for a list of books that they can read while jogging. A successful music recommender needs to take context into account.
Consumed in sequences – Listening to songs in order has always been a big part of the music experience. We love playlists, mixtapes, DJ mixes, albums. Some people make their living putting songs into interesting order. Your collaborative filtering algorithm doesn’t have the ability to create coherent, interesting playlists with a mix of new music and old favorites
Large Personal Collections – Music fans often have extremely large personal collections – making it easier for recommendation and discovery tools to understand the detailed music taste of a listener. A personalized movie recommender may start with a list of a dozen rated movies, while a music recommender may be able to recommend music based upon many thousands of plays, ratings skips and bans.
Highly Social – Music is social. People love to share music. They express their identity to others by the music they listen to. They give each other playlists and mixtapes. Music is a big part of who we are.
Music is special – but of course, so are books, movies and Disney vacations – every type of item has its own special characteristics that should be taken into account when building recommendation and discovery tools. There’s no one-size-fits-all recommendation algorithm.
Music Recommendation and Discovery Revisited
Posted by Paul in freakomendation, recommendation on October 22, 2011
I’m off to Chicago to attend the 5th ACM Conference on Recommender Systems. I’m giving a talk with Òscar Celma called Music Recommendation and Discovery Revisited. It is a reprise of the talk we gave 4 years ago at ISMIR 2007 in Austria. Quite a bit has happened in the music discovery space since then so there’s quite a bit of new material. Here’s one of my favorite new slides. 10 points if you can figure out what this slide is all about.
It should be a fun talk, and it is always great working with Oscar. We’ll post the slides on Monday.
How do you discover music?
Posted by Paul in Music, recommendation, research on August 18, 2011
I’m interested in learning more about how people are discovering new music. I hope that you will spend 2 mins and take this 3 question poll. I’ll publish the results in a few weeks.
How are music services responding to Apple’s new TOS?
Posted by Paul in Music, recommendation on August 4, 2011
There’s been quite a bit of turmoil around how IOS developers can sell products and subscriptions within their IOS application. Apple says, essentially, if you sell stuff within your app you have to give Apple a 30% cut and you can’t try to pass costs onto the customer by charging more for items purchased within an App. The cost for an item must be the same whether it was purchased through the app or through some other means. Update: In June, MacRumors reported that Apple updated its TOS so that content providers are now also free to charge whatever price they wish for content purchased outside of an App. Apple also says that you can no longer have a button or a link in your app to a website where a user can purchase content without giving Apple their 30% cut.
For most media industries,there is not enough left of the profit pie to allow Apple to take 30% of it. This has left most media companies in a quandary of how to continue to give their users a good experience, without bankrupting their company. Many folks looked toward Amazon to see how they would react. Amazon’s Kindle reader is used by millions of iPad and iPhone readers to purchase and read digital books. Amazon’s solution was simple. Last week they issued an update to their Kindle Reader IOS app that removed the Kindle Store button. After the update, The [Kindle Store] button is no longer present in the app. This means that users of the Kindle IOS app can no longer launch a book shopping session from within the Kindle app. Here’s the update:
Before the update, the Kindle app looks like this, with a very visible Kindle Store button that will take you to the Kindle web store, where you can buy Kindle books:
After the update, the Kindle App looks like this. The Kindle Store button is gone.
What are music services doing?
I was curious to see how various music subscription services were dealing with the same issue. I fired up the apps, checked for updates and this is what I found.
Spotify
Spotify updated their app to get rid of any in-app purchases or subscription links just like the Kindle. You can only listen to Spotify mobile if you already have a Spotify mobile account.
When you login to Spotify there is no option to register an account. Spotify just assumes that you have already registered and are ready to login in and start using the app:
Curiously, there is a ‘Get help at Spotify.com’ button on the More page of the app. This will open a web browser and bring you to the Spotify Help page, which puts you two clicks away from a ‘subscribe’ button. This must cut pretty close to Apple’s rules about links to web sites.
SiriusXM
As with Spotify, SiriusXM, removed any links back to their site. Only people that already have a SiriusXM account can use the SiriusXM app.

Rhapsody
Same story for Rhapsody, there’s no way to get a subscription for Rhapsody within the Rhapsody Application.
MOG
MOG issued in update in July that removed links to the MOG subscription portal.
Napster
Interestingly enough, the very latest version of Napster happily allows you to register for Napster through the application. On the Sign In page there is a prominent Register for Napster button.
Pressing the button brings you to a Registration page where you can sign up for a 7-day free trial
I wonder what happens if a 7-day free trial user converts to a paying subscriber. Does Apple get 30% or is Napster hoping that no one notices?
Update – A Napster update was released one day after this post was published that eliminates the direct signup link:
Slacker
Slacker’s $3.99 a month Radio Plus product is included as a prominent upgrade in the Slacker app. If you hit the upgrade button you will get a form to fill out with all of your credit card info so they can start charging you the 4 bucks. The question is whether or not Apple is getting $1.20 of that 4 bucks.
Pandora
With Pandora you can create a free account through the mobile app, but there is no mention of a premium account, nor are there any links to Pandora.com as far as I can tell.
Last.fm
Just like Pandora, the Last.fm app will let you sign up for a non-premium account via the app and makes no mention or attempt to upsell you to a paid account:
Rdio
Rdio takes a similar approach to Pandora and Last.fm. It allows users to sign up for a 7 day free trial account via the app. It makes no mention and has no links to a premium subscription page. It is not clear to me what happens at the end of the trial period, whether they will prompt you to visit Rdio, or if they just say “Your free trial is over, thanks for listening”.
Update – It is a moving target out there. Rdio issued an update yesterday that now allows you to purchase a monthly subscription in the app. With the new version you can now click on the ‘Subscribe to Rdio Unlimited’. When you do you receive this confirmation dialog:
This allows you to purchase the Rdio subscription for $14.99, which just happens to be 33% more than an Rdio Unlimited subscription would cost if purchased directly from the web. Rdio is taking advantage of Apple’s recent relaxation of the rules and seeing how effective in-app subscription purchases stack up against cheaper out-of-app purchases. There’s a good LA Times article Rdio attempts to survive Apple’s subscription tax that describes Rdio’s approach to dealing with this issue.
Playme
The latest version of Playme doesn’t have a button or link that brings you to the Playme subscription page. It does, however, display http://www.playme.com prominently on the sign in page so you can type the URL directly into your browser. I guess technically the words http://www.playme.com are not a link if you can’t click or tap it to go there.
Grooveshark
Grooveshark has never been timid of walking up to the line and stepping across it. The only way to get Grooveshark on an IOS device is to Jailbreak your device. With a Jailbroken version, Grooveshark doesn’t need to pay anyone for anything.





































